Activité 1
|
|
|
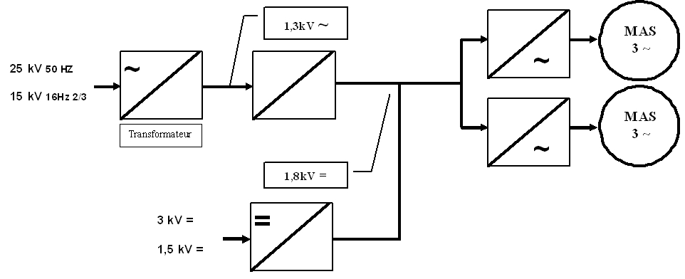
Le TGV Eurostar |
Une rame de ce train comporte 6 bogies moteurs et bogies porteurs. Un bogie est constitué de deux essieux
reliés entre eux par un châssis (deux moteurs asynchrones triphasés MAS).

La rame doit fonctionner sous les 4 tensions caténaires rencontrées en Europe occidentale :
- 25 kv 50 Hz en France
- 15 kV 16Hz 2/3 au Royaume uni
- 3 kv continu en France
- 1,5 kv continu en France
Complétez le schéma de principe d'un bogie pour convertir les tensions de chaque pays :

Suite du cours Les interrupteurs électroniques : ici
Créé avec HelpNDoc Personal Edition: Générateur de documentation iPhone gratuit