
|
Résumé |
Bascules asynchrones
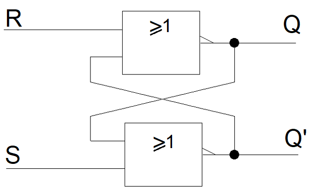
Bascule R S
|
Symbole IEC
|
Table de fonctionnement
|
||||||||||||||||||||||||||||||
|
Symbole IEC
|
Table de fonctionnement
|
||||||||||||||||||||||||||||||
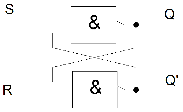
Bascule R S
|
Symbole IEC
|
Table de fonctionnement
|
||||||||||||||||||||||||||||||
|
Symbole IEC
|
Table de fonctionnement
|
||||||||||||||||||||||||||||||
Bascules synchrones
Bascule D synchronisée sur un niveau haut de l'horloge
|
Symbole IEC
|
Table de fonctionnement
|
||||||||||||||||||||||||||||||
Bascule D déclenchée sur front montant de l'horloge
(flip-flop D positive-edge trigger)
|
Symbole IEC
|
Table de fonctionnement
|
Bascule D déclenchée sur front descendant de l'horloge
(flip-flop D negative-edge trigger)
|
Symbole IEC
|
Table de fonctionnement
|
Bascule JK déclenchée sur front montant de l'horloge
(flip-flop JK positive-edge trigger)
|
Symbole IEC
|
Table de fonctionnement
|
Bascule JK déclenchée sur front descendant de l'horloge
(flip-flop JK negative-edge trigger)
|
Symbole IEC
|
Table de fonctionnement
|
Créé avec HelpNDoc Personal Edition: Optimisez l'efficacité de votre documentation avec un outil de création d'aide












