le Gradateur à angle de phase
Le gradateur à angle de phase
Rappel : Les gradateurs permettent d'obtenir une tension alternative variable à partir
d'une tension alternative fixe.

Exemple : variateur de lumière

Schéma de principe :

Deux thyristors sont montés en opposition (autre composant : le triac)
TH1 peut conduire pendant l'alternance positive du réseau.
TH2 peut conduire pendant l'alternance négative du réseau.
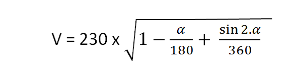
La valeur efficace V de la tension v(t) est réglable en réglant le retard à l'amorçage α des thyristors :


α = 0° : la lampe est éclairée au maximum V = 230v
α entre 0 et 180° : variation de l'éclairage de la lampe.
α = 180° : la lampe est éteinte
Formule de calcul de la valeur efficace V de la charge :

α exprimé en degrés.
Allez à l'activité 8 : ici
Créé avec HelpNDoc Personal Edition: Éditeur complet de livres électroniques ePub